This lesson is in the early stages of development (Alpha version)

Regularised regression

Overview

Teaching: 60 min
Exercises: 20 min
Questions
  • What is regularisation?

  • How does regularisation work?

  • How can we select the level of regularisation for a model?

Objectives
  • Understand the benefits of regularised models.

  • Understand how different types of regularisation work.

  • Apply and critically analyse regularised regression models.

Introduction

This episode is about regularisation, also called regularised regression or penalised regression. This approach can be used for prediction and for feature selection and it is particularly useful when dealing with high-dimensional data.

One reason that we need special statistical tools for high-dimensional data is that standard linear models cannot handle high-dimensional data sets – one cannot fit a linear model where there are more features (predictor variables) than there are observations (data points). In the previous lesson we dealt with this problem by fitting individual models for each feature and sharing information among these models. Now we will take a look at an alternative approach called regularisation. Regularisation can be used to stabilise coefficient estimates (and thus to fit models with more features than observations) and even to select a subset of relevant features.

First, let us check out what happens if we try to fit a linear model to high-dimensional data! We start by reading in the data from the last lesson:

library("here")
library("minfi")
methylation <- readRDS(here("data/methylation.rds"))

## here, we transpose the matrix to have features as rows and samples as columns
methyl_mat <- t(assay(methylation))
age <- methylation$Age

Then, we try to fit a model with outcome age and all 5,000 features in this dataset as predictors (average methylation levels, M-values, across different sites in the genome).

# by using methyl_mat in the formula below, R will run a multivariate regression
# model in which each of the columns in methyl_mat is used as a predictor. 
fit <- lm(age ~ methyl_mat)
summary(fit)

Call:
lm(formula = age ~ methyl_mat)

Residuals:
ALL 37 residuals are 0: no residual degrees of freedom!

Coefficients: (4964 not defined because of singularities)
                          Estimate Std. Error t value Pr(>|t|)
(Intercept)               2640.474        NaN     NaN      NaN
methyl_matcg00075967      -108.216        NaN     NaN      NaN
methyl_matcg00374717      -139.637        NaN     NaN      NaN
methyl_matcg00864867        33.102        NaN     NaN      NaN
methyl_matcg00945507        72.250        NaN     NaN      NaN
 [ reached getOption("max.print") -- omitted 4996 rows ]

Residual standard error: NaN on 0 degrees of freedom
Multiple R-squared:      1,	Adjusted R-squared:    NaN 
F-statistic:   NaN on 36 and 0 DF,  p-value: NA

You can see that we’re able to get some effect size estimates, but they seem very high! The summary also says that we were unable to estimate effect sizes for 4,964 features because of “singularities”. What this means is that R couldn’t find a way to perform the calculations necessary due to the fact that we have more features than observations.

Singularities

The message that lm produced is not necessarily the most intuitive. What are “singularities”, and why are they an issue? A singular matrix is one that cannot be inverted. The inverse of an $n \times n$ square matrix $A$ is the matrix $B$ for which $AB = BA = I_n$, where $I_n$ is the $n \times n$ identity matrix.

Why is the inverse important? Well, to find the coefficients of a linear model of a matrix of predictor features $X$ and an outcome vector $y$, we may perform the calculation

\[(X^TX)^{-1}X^Ty\]

You can see that, if we’re unable to find the inverse of the matrix $X^TX$, then we’ll be unable to find the regression coefficients.

Why might this be the case? Well, when the determinant of the matrix is zero, we are unable to find its inverse.

xtx <- t(methyl_mat) %*% methyl_mat
det(xtx)
[1] 0

Correlated features – common in high-dimensional data

So, we can’t fit a standard linear model to high-dimensional data. But there is another issue. In high-dimensional datasets, there are often multiple features that contain redundant information (correlated features).

We have seen in the first episode that correlated features can make it hard (or impossible) to correctly infer parameters. If we visualise the level of correlation between sites in the methylation dataset, we can see that many of the features essentially represent the same information - there are many off-diagonal cells, which are deep red or blue. For example, the following heatmap visualises the correlations for the first 500 features in the methylation dataset (we selected 500 features only as it can be hard to visualise patterns when there are too many features!).

small <- methyl_mat[, 1:500]
cor_mat <- cor(small)
Heatmap(cor_mat,
    column_title = "Feature-feature correlation in methylation data",
    name = "Pearson correlation",
    col = col,
    show_row_dend = FALSE, show_column_dend = FALSE,
    show_row_names = FALSE, show_column_names = FALSE
)
Error in col_fun(le): a matrix-like object is required as argument to 'col'

Correlation between features can be problematic for technical reasons. If it is very severe, it may even make it impossible to fit a model! This is in addition to the fact that with more features than observations, we can’t even estimate the model properly. Regularisation can help us to deal with correlated features.

Challenge 1

Discuss in groups:

  1. Why would we observe correlated features in high-dimensional biological data?
  2. Why might correlated features be a problem when fitting linear models?
  3. What issue might correlated features present when selecting features to include in a model one at a time?

Solution

  1. Many of the features in biological data represent very similar information biologically. For example, sets of genes that form complexes are often expressed in very similar quantities. Similarly, methylation levels at nearby sites are often very highly correlated.
  2. Correlated features can make inference unstable or even impossible mathematically.
  3. When we are selecting features one at a time we want to pick the most predictive feature each time. When a lot of features are very similar but encode slightly different information, which of the correlated features we select to include can have a huge impact on the later stages of model selection!

Coefficient estimates of a linear model

When we fit a linear model, we’re finding the line through our data that minimises the sum of the squared residuals. We can think of that as finding the slope and intercept that minimises the square of the length of the dashed lines. In this case, the red line in the left panel is the line that accomplishes this objective, and the red dot in the right panel is the point that represents this line in terms of its slope and intercept among many different possible models, where the background colour represents how well different combinations of slope and intercept accomplish this objective.

For each observation, the left panel shows the residuals with respect to the optimal line (the one that minimises the sum of square errors). These are calculated as the difference between the value predicted by the line and the observed outcome. Right panel shows the sum of squared residuals across all possible linear regression models (as defined by different values of the regression coefficients).

Illustrative example demonstrated how regression coefficients are inferred under a linear model framework.

Mathematically, we can write the sum of squared residuals as

\[\sum_{i=1}^N ( y_i-x'_i\beta)^2\]

where $\beta$ is a vector of (unknown) covariate effects which we want to learn by fitting a regression model: the $j$-th element of $\beta$, which we denote as $\beta_j$ quantifies the effect of the $j$-th covariate. For each individual $i$, $x_i$ is a vector of $j$ covariate values and $y_i$ is the true observed value for the outcome. The notation $x’_i\beta$ indicates matrix multiplication. In this case, the result is equivalent to multiplying each element of $x_i$ by its corresponding element in $\beta$ and then calculating the sum across all of those values. The result of this product (often denoted by $\hat{y}_i$) is the predicted value of the outcome generated by the model. As such, $y_i-x’_i\beta$ can be interpreted as the prediction error, also referred to as model residual. To quantify the total error across all individuals, we sum the square residuals $( y_i-x’_i\beta)^2$ across all the individuals in our data.

Finding the value of $\beta$ that minimises the sum above is the line of best fit through our data when considering this goal of minimising the sum of squared error. However, it is not the only possible line we could use! For example, we might want to err on the side of caution when estimating effect sizes (coefficients). That is, we might want to avoid estimating very large effect sizes. This can help us to create generalisable models. This is important when models that are fitted (trained) on one dataset and then used to predict outcomes from a new dataset. Restricting parameter estimates is particularly important when analysing high-dimensional data.

Challenge 2

Discuss in groups:

  1. What are we minimising when we fit a linear model?
  2. Why are we minimising this objective? What assumptions are we making about our data when we do so?

Solution

  1. When we fit a linear model we are minimising the squared error. In fact, the standard linear model estimator is often known as “ordinary least squares”. The “ordinary” really means “original” here, to distinguish between this method, which dates back to ~1800, and some more “recent” (think 1940s…) methods.
  2. Least squares assumes that, when we account for the change in the mean of the outcome based on changes in the income, the data are normally distributed. That is, the residuals of the model, or the error left over after we account for any linear relationships in the data, are normally distributed, and have a fixed variance.

Model selection using training and test sets

Sets of models are often compared using statistics such as adjusted $R^2$, AIC or BIC. These show us how well the model is learning the data used in fitting that same model 1. However, these statistics do not really tell us how well the model will generalise to new data. This is an important thing to consider – if our model doesn’t generalise to new data, then there’s a chance that it’s just picking up on a technical or batch effect in our data, or simply some noise that happens to fit the outcome we’re modelling. This is especially important when our goal is prediction – it’s not much good if we can only predict well for samples where the outcome is already known, after all!

To get an idea of how well our model generalises, we can split the data into two - a “training” and a “test” set. We use the “training” data to fit the model, and then see its performance on the “test” data.

Schematic representation of how a dataset can be divided into a training (the portion of the data used to fit a model) and a test set (the portion of the data used to assess external generalisability).

Schematic representation of how a dataset can be divided into a training and a test set.

One thing that often happens in this context is that large coefficient values minimise the training error, but they don’t minimise the test error on unseen data. First, we’ll go through an example of what exactly this means.

For the next few challenges, we’ll work with a set of features known to be associated with age from a paper by Horvath et al.2. Horvath et al use methylation markers alone to predict the biological age of an individual. This is useful in studying age-related disease amongst many other things.

coef_horvath <- readRDS(here::here("data/coefHorvath.rds"))
methylation <- readRDS(here::here("data/methylation.rds"))

library("SummarizedExperiment")
age <- methylation$Age
methyl_mat <- t(assay(methylation))

coef_horvath <- coef_horvath[1:20, ]
features <- coef_horvath$CpGmarker
horvath_mat <- methyl_mat[, features]

## Generate an index to split the data
set.seed(42)
train_ind <- sample(nrow(methyl_mat), 25)

Challenge 3

  1. Split the methylation data matrix and the age vector into training and test sets.
  2. Fit a model on the training data matrix and training age vector.
  3. Check the mean squared error on this model.

Solution

  1. Splitting the data involves using our index to split up the matrix and the age vector into two each. We can use a negative subscript to create the test data.

    train_mat <- horvath_mat[train_ind, ]
    train_age <- age[train_ind]
    test_mat <- horvath_mat[-train_ind, ]
    test_age <- age[-train_ind]
    

    The solution to this exercise is important because the generated objects (train_mat, train_age, test_mat and test_age) will be used later in this episode. Please make sure that you use the same object names.

  2. To

    # as.data.frame() converts train_mat into a data.frame
    fit_horvath <- lm(train_age ~ ., data = as.data.frame(train_mat))
    

Using the . syntax above together with a data argument will lead to the same result as usign train_age ~ tran_mat: R will fit a multivariate regression model in which each of the colums in train_mat is used as a predictor. We opted to use the . syntax because it will help us to obtain model predictions using the predict() function.

  1. The mean squared error of the model is the mean of the square of the residuals. This seems very low here – on average we’re only off by about a year!

    mean(residuals(fit_horvath)^2)
    
    [1] 1.319628
    

Having trained this model, now we can check how well it does in predicting age from new dataset (the test data). Here we use the mean of the squared difference between our predictions and the true ages for the test data, or “mean squared error” (MSE). Unfortunately, it seems like this is a lot higher than the error on the training data!

mse <- function(true, prediction) {
    mean((true - prediction)^2)
}
pred_lm <- predict(fit_horvath, newdata = as.data.frame(test_mat))
err_lm <- mse(test_age, pred_lm)
err_lm
[1] 223.3571

Further, if we plot true age against predicted age for the samples in the test set, we can see how well we’re really doing - ideally these would line up exactly!

par(mfrow = c(1, 1))
plot(test_age, pred_lm, pch = 19)
abline(coef = 0:1, lty = "dashed")
A scatter plot of observed age versus predicted age for individuals in the test set. Each dot represents one individual. Dashed line is used as a reference to indicate how perfect predictions would look (observed = predicted). In this case we observe high prediction error in the test set.

A scatter plot of observed age versus predicted age for individuals in the test set. Each dot represents one individual. Dashed line is used as a reference to indicate how perfect predictions would look (observed = predicted).

This figure shows the predicted ages obtained from a linear model fit plotted against the true ages, which we kept in the test dataset. If the prediction were good, the dots should follow a line. Regularisation can help us to make the model more generalisable, improving predictions for the test dataset (or any other dataset that is not used when fitting our model).

Using regularisation to impove generalisability

As stated above, restricting model parameter estimates can improve a model’s generalisability. This can be done with regularisation. The idea to add another condition to the problem we’re solving with linear regression. This condition controls the total size of the coefficients that come out. For example, we might say that the point representing the slope and intercept must fall within a certain distance of the origin, $(0, 0)$. Note that we are still trying to solve for the line that minimises the square of the residuals; we are just adding this extra constraint to our solution.

For the 2-parameter model (slope and intercept), we could visualise this constraint as a circle with a given radius. We want to find the “best” solution (in terms of minimising the residuals) that also falls within a circle of a given radius (in this case, 2).

For each observation, the left panel shows the residuals with respect to the optimal lines obtained with and without regularisation. Right panel shows the sum of squared residuals across all possible linear regression models. Regularisation moves the line away from the optimal (in terms of minimising the sum of squared residuals).

Illustrative example demonstrated how regression coefficients are inferred under a linear model framework, with (blue line) and without (red line) regularisation. A ridge penalty is used in this example

There are multiple ways to define the distance that our solution must fall in, though. The one we’ve plotted above controls the squared sum of the coefficients, $\beta$. This is also sometimes called the $L^2$ norm. This is defined as

\[\left\lVert \beta\right\lVert_2 = \sqrt{\sum_{j=1}^p \beta_j^2}\]

To control this, we specify that the solution for the equation above also has to have an $L^2$ norm smaller than a certain amount. Or, equivalently, we try to minimise a function that includes our $L^2$ norm scaled by a factor that is usually written $\lambda$.

\[\sum_{i=1}^N \biggl( y_i - x'_i\beta\biggr)^2 + \lambda \left\lVert \beta \right\lVert_2 ^2\]

Another way of thinking about this is that when finding the best model, we’re weighing up a balance of the ordinary least squares objective and a “penalty” term that punished models with large coefficients. The balance between the penalty and the ordinary least squares objective is controlled by $\lambda$ - when $\lambda$ is large, we care a lot about the size of the coefficients. When it’s small, we don’t really care a lot. When it’s zero, we’re back to just using ordinary least squares. This type of regularisation is called ridge regression.

Why would we want to restrict our model?

It may seem an odd thing to do: to restrict the possible values of our model parameters! Why would we want to do this? Firstly, as discussed earlier, our model estimates can be very unstable or even difficult to calculate when we have many correlated features. Secondly, this type of approach can make our model more generalisable to new data. To show this, we’ll fit a model using the same set of 20 features (stored as features) selected earlier in this episode (these are a subset of the features identified by Horvarth et al), using both regularised and ordinary least squares.

library("glmnet")

## glmnet() performs scaling by default, supply un-scaled data:
horvath_mat <- methyl_mat[, features] # select the first 20 sites as before
train_mat <- horvath_mat[train_ind, ] # use the same individuals as selected before
test_mat <- horvath_mat[-train_ind, ]



ridge_fit <- glmnet(x = train_mat, y = train_age, alpha = 0)
plot(ridge_fit, xvar = "lambda")
abline(h = 0, lty = "dashed")
Alt

Cap

This plot shows how the estimated coefficients for each CpG site change as we increase the penalty, $\lambda$. That is, as we decrease the size of the region that solutions can fall into, the values of the coefficients that we get back tend to decrease. In this case, coefficients trend towards zero but generally don’t reach it until the penalty gets very large. We can see that initially, some parameter estimates are really, really large, and these tend to shrink fairly rapidly.

We can also notice that some parameters “flip signs”; that is, they start off positive and become negative as lambda grows. This is a sign of collinearity, or correlated predictors. As we reduce the importance of one feature, we can “make up for” the loss in accuracy from that one feature by adding a bit of weight to another feature that represents similar information.

Since we split the data into test and training data, we can prove that ridge regression gives us a better prediction in this case:

pred_ridge <- predict(ridge_fit, newx = test_mat)
err_ridge <- apply(pred_ridge, 2, function(col) mse(test_age, col))
min(err_ridge)
[1] 46.76802
err_lm
[1] 223.3571
which_min_err <- which.min(err_ridge)
min_err_ridge <- min(err_ridge)
pred_min_ridge <- pred_ridge[, which_min_err]

We can see where on the continuum of lambdas we’ve picked a model by plotting the coefficient paths again. In this case, we’ve picked a model with fairly modest shrinkage.

chosen_lambda <- ridge_fit$lambda[which.min(err_ridge)]
plot(ridge_fit, xvar = "lambda")
abline(v = log(chosen_lambda), lty = "dashed")
Alt

Cap

Challenge 4

  1. Which performs better, ridge or OLS?
  2. Plot predicted ages for each method against the true ages. How do the predictions look for both methods? Why might ridge be performing better?

Solution

  1. Ridge regression performs significantly better on unseen data, despite being “worse” on the training data.

    min_err_ridge
    
    [1] 46.76802
    
    err_lm
    
    [1] 223.3571
    
  2. The ridge ones are much less spread out with far fewer extreme predictions.

    all <- c(pred_lm, test_age, pred_min_ridge)
    lims <- range(all)
    par(mfrow = 1:2)
    plot(test_age, pred_lm,
        xlim = lims, ylim = lims,
        pch = 19
    )
    abline(coef = 0:1, lty = "dashed")
    plot(test_age, pred_min_ridge,
        xlim = lims, ylim = lims,
        pch = 19
    )
    abline(coef = 0:1, lty = "dashed")
    
    Alt

    Cap

LASSO regression

LASSO is another type of regularisation. In this case we use the $L^1$ norm, or the sum of the absolute values of the coefficients.

\[\left\lVert \beta \right\lVert_1 = \sum_{j=1}^p |\beta_j|\]

This tends to produce sparse models; that is to say, it tends to remove features from the model that aren’t necessary to produce accurate predictions. This is because the region we’re restricting the coefficients to has sharp edges. So, when we increase the penalty (reduce the norm), it’s more likely that the best solution that falls in this region will be at the corner of this diagonal (i.e., one or more coefficient is exactly zero).

For each observation, the left panel shows the residuals with respect to the optimal lines obtained with and without regularisation. Right panel shows the sum of squared residuals across all possible linear regression models. Regularisation moves the line away from the optimal (in terms of minimising the sum of squared residuals)

Illustrative example demonstrated how regression coefficients are inferred under a linear model framework, with (blue line) and without (red line) regularisation. A LASSO penalty is used in this example.

Challenge 5

  1. Use glmnet to fit a LASSO model (hint: set alpha = 1).
  2. Plot the model object. Remember that for ridge regression, we set xvar = "lambda". What if you don’t set this? What’s the relationship between the two plots?
  3. How do the coefficient paths differ to the ridge case?

Solution

  1. Fitting a LASSO model is very similar to a ridge model, we just need to change the alpha setting.

    fit_lasso <- glmnet(x = methyl_mat, y = age, alpha = 1)
    
  2. When xvar = "lambda", the x-axis represents increasing model sparsity from left to right, because increasing lambda increases the penalty added to the coefficients. When we instead plot the L1 norm on the x-axis, increasing L1 norm means that we are allowing our coefficients to take on increasingly large values.
    plot of chunk plotlas

    plot of chunk plotlas

  3. The paths tend to go to exactly zero much more when sparsity increases when we use a LASSO model. In the ridge case, the paths tend towards zero but less commonly reach exactly zero.

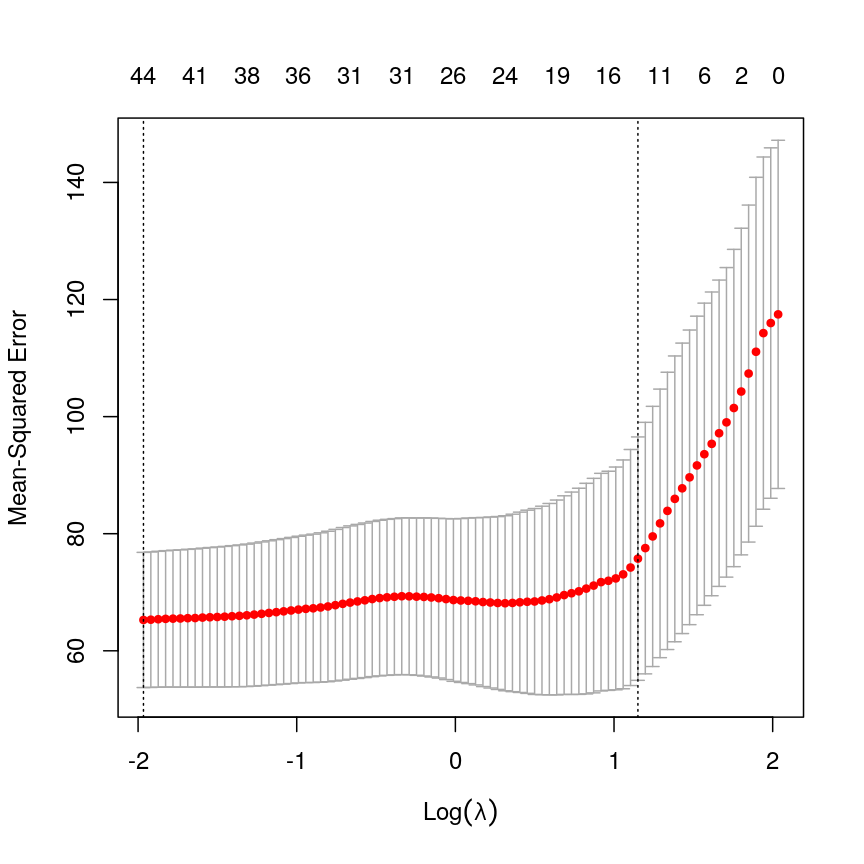
Cross-validation to find the best value of $\lambda$

There are various methods to select the “best” value for $\lambda$. One is to split the data into $K$ chunks. We then use $K-1$ of these as the training set, and the remaining $1$ chunk as the test set. We can repeat this until we’ve rotated through all $K$ chunks, giving us a good estimate of how well each of the lambda values work in our data. This is called cross-validation, and doing this repeated test/train split gives us a better estimate of how generalisable our model is. Cross-validation is a really deep topic that we’re not going to cover in more detail today, though!

The data is divided into $K$ chunks. For each cross-validation iteration, one data chunk is used as the test set. The remaining $K-1$ chunks are combined into a training set.

Schematic representiation of a $K$-fold cross-validation procedure.

We can use this new idea to choose a lambda value, by finding the lambda that minimises the error across each of the test and training splits.

lasso <- cv.glmnet(methyl_mat[, -1], age, alpha = 1)
plot(lasso)
Alt

Cross-validated mean squared error for different values of lambda under a LASSO penalty.

coefl <- coef(lasso, lasso$lambda.min)
selected_coefs <- as.matrix(coefl)[which(coefl != 0), 1]

## load the horvath signature to compare features
coef_horvath <- readRDS(here::here("data/coefHorvath.rds"))
## We select some of the same features! Hooray
intersect(names(selected_coefs), coef_horvath$CpGmarker)
[1] "cg02388150" "cg06493994" "cg22449114" "cg22736354" "cg03330058"
[6] "cg09809672" "cg11299964" "cg19761273" "cg26162695"
Overall, we observe either increasing or decreasing methylation patterns as a function of age.

Heatmap showing methylation values for the selected CpG and how the vary with age.

Blending ridge regression and the LASSO - elastic nets

So far, we’ve used ridge regression, where alpha = 0, and LASSO regression, where alpha = 1. What if alpha is set to a value between zero and one? Well, this actually lets us blend the properties of ridge and LASSO regression. This allows us to have the nice properties of the LASSO, where uninformative variables are dropped automatically, and the nice properties of ridge regression, where our coefficient estimates are a bit more conservative, and as a result our predictions are a bit better.

Formally, the objective function of elastic net regression is to optimise the following function:

\[\left(\sum_{i=1}^N y_i - x'_i\beta\right) + \lambda \left( \alpha \left\lVert \beta \right\lVert_1 + (1-\alpha) \left\lVert \beta \right\lVert_2 \right)\]

You can see that if alpha = 1, then the L1 norm term is multiplied by one, and the L2 norm is multiplied by zero. This means we have pure LASSO regression. Conversely, if alpha = 0, the L2 norm term is multiplied by one, and the L1 norm is multiplied by zero, meaning we have pure ridge regression. Anything in between gives us something in between.

The contour plots we looked at previously to visualise what this penalty looks like for different values of alpha.

For lower values of alpha, the penalty resembles ridge regression. For higher values of alpha, the penalty resembles LASSO regression.

For an elastic net, the panels show the effect of the regularisation across different values of alpha

Challenge 6

  1. Fit an elastic net model (hint: alpha = 0.5) without cross-validation and plot the model object.
  2. Fit an elastic net model with cross-validation and plot the error. Compare with LASSO.
  3. Select the lambda within one standard error of the minimum cross-validation error (hint: lambda.1se). Compare the coefficients with the LASSO model.
  4. Discuss: how could we pick an alpha in the range (0, 1)? Could we justify choosing one a priori?

Solution

  1. Fitting an elastic net model is just like fitting a LASSO model. You can see that coefficients tend to go exactly to zero, but the paths are a bit less extreme than with pure LASSO; similar to ridge.

    elastic <- glmnet(methyl_mat[, -1], age, alpha = 0.5)
    plot(elastic)
    
    plot of chunk elastic

    plot of chunk elastic

  2. The process of model selection is similar for elastic net models as for LASSO models.

    elastic_cv <- cv.glmnet(methyl_mat[, -1], age, alpha = 0.5)
    plot(elastic_cv)
    
    Alt

    Elastic

  3. You can see that the coefficients from these two methods are broadly similar, but the elastic net coefficients are a bit more conservative. Further, more coefficients are exactly zero in the LASSO model.

    coefe <- coef(elastic_cv, elastic_cv$lambda.1se)
    sum(coefe[, 1] == 0)
    
    [1] 4973
    
    sum(coefl[, 1] == 0)
    
    [1] 4955
    
    plot(
        coefl[, 1], coefe[, 1],
        pch = 16,
        xlab = "LASSO coefficients",
        ylab = "Elastic net coefficients"
    )
    abline(0:1, lty = "dashed")
    
    Alt

    LASSO-Elastic

  4. You could pick an arbitrary value of alpha, because arguably pure ridge regression or pure LASSO regression are also arbitrary model choices. To be rigorous and to get the best-performing model and the best inference about predictors, it’s usually best to find the best combination of alpha and lambda using a grid search approach in cross-validation. However, this can be very computationally demanding.

The bias-variance tradeoff

When we make predictions in statistics, there are two sources of error that primarily influence the (in)accuracy of our predictions. these are bias and variance.

The total expected error in our predictions is given by the following equation:

\[E(y - \hat{y}) = \text{Bias}^2 + \text{Variance} + \sigma^2\]

Here, $\sigma^2$ represents the irreducible error, that we can never overcome. Bias results from erroneous assumptions in the model used for predictions. Fundamentally, bias means that our model is mis-specified in some way, and fails to capture some components of the data-generating process (which is true of all models). If we have failed to account for a confounding factor that leads to very inaccurate predictions in a subgroup of our population, then our model has high bias.

Variance results from sensitivity to particular properties of the input data. For example, if a tiny change to the input data would result in a huge change to our predictions, then our model has high variance.

Linear regression is an unbiased model under certain conditions. In fact, the Gauss-Markov theorem shows that under the right conditions, OLS is the best possible type of unbiased linear model.

Introducing penalties to means that our model is no longer unbiased, meaning that the coefficients estimated from our data will systematically deviate from the ground truth. Why would we do this? As we saw, the total error is a function of bias and variance. By accepting a small amount of bias, it’s possible to achieve huge reductions in the total expected error.

This bias-variance tradeoff is also why people often favour elastic net regression over pure LASSO regression.

Other types of outcomes

You may have noticed that glmnet is written as glm, not lm. This means we can actually model a variety of different outcomes using this regularisation approach. For example, we can model binary variables using logistic regression, as shown below. The type of outcome can be specified using the family argument, which specifies the family of the outcome variable.

In fact, glmnet is somewhat cheeky as it also allows you to model survival using Cox proportional hazards models, which aren’t GLMs, strictly speaking.

For example, in the current dataset we can model smoking status as a binary variable in logistic regression by setting family = "binomial".

The package documentation explains this in more detail.

smoking <- as.numeric(factor(methylation$smoker)) - 1
# binary outcome
table(smoking)
smoking
 0  1 
30  7 
fit <- cv.glmnet(x = methyl_mat, nfolds = 5, y = smoking, family = "binomial")
Warning in lognet(xd, is.sparse, ix, jx, y, weights, offset, alpha, nobs, : one
multinomial or binomial class has fewer than 8 observations; dangerous ground
Warning in lognet(xd, is.sparse, ix, jx, y, weights, offset, alpha, nobs, : one
multinomial or binomial class has fewer than 8 observations; dangerous ground
Warning in lognet(xd, is.sparse, ix, jx, y, weights, offset, alpha, nobs, : one
multinomial or binomial class has fewer than 8 observations; dangerous ground
Warning in lognet(xd, is.sparse, ix, jx, y, weights, offset, alpha, nobs, : one
multinomial or binomial class has fewer than 8 observations; dangerous ground
Warning in lognet(xd, is.sparse, ix, jx, y, weights, offset, alpha, nobs, : one
multinomial or binomial class has fewer than 8 observations; dangerous ground
Warning in lognet(xd, is.sparse, ix, jx, y, weights, offset, alpha, nobs, : one
multinomial or binomial class has fewer than 8 observations; dangerous ground
coef <- coef(fit, s = fit$lambda.min)
coef <- as.matrix(coef)
coef[which(coef != 0), 1]
[1] -1.455287
plot(fit)
Alt

Title

In this case, the results aren’t very interesting! We select an intercept-only model. However, as highlighted by the warnings above, we should not trust this result too much as the data was too small to obtain reliable results! We only included it here to provide the code that could be used to perform penalised regression for binary outcomes (i.e. penalised logistic regression).

tidymodels

A lot of the packages for fitting predictive models like regularised regression have different user interfaces. To do predictive modelling, it’s important to consider things like choosing a good performance metric, how to run normalisation, and . It’s also useful to compare different model “engines”.

To this end, the tidymodels framework exists. The code below would be useful to perform repeated cross-validation. We’re not doing a course on advanced topics in predictive modelling so we are not covering this framework.

library("tidymodels")
all_data <- as.data.frame(cbind(age = age, methyl_mat))
split_data <- initial_split(all_data)

norm_recipe <- recipe(training(split_data)) %>%
    ## everything other than age is a predictor
    update_role(everything(), new_role = "predictor") %>%
    update_role(age, new_role = "outcome") %>%
    ## center and scale all the predictors
    step_center(all_predictors()) %>%
    step_scale(all_predictors()) %>%
    prep(training = training(split_data), retain = TRUE)

## set the "engine" to be a linear model with tunable alpha and lambda
glmnet_model <- linear_reg(penalty = tune(), mixture = tune()) %>% 
    set_engine("glmnet")

## define a workflow, with normalisation recipe into glmnet engine
workflow <- workflow() %>%
    add_recipe(norm_recipe) %>%
    add_model(glmnet_model)

## 5-fold cross-validation repeated 5 times
folds <- vfold_cv(training(split_data), v = 5, repetitions = 5)

## define a grid of lambda and alpha parameters to search
glmn_set <- parameters(
    penalty(range = c(-5, 1), trans = log10_trans()),
    mixture()
)
glmn_grid <- grid_regular(glmn_set)
ctrl <- control_grid(save_pred = TRUE, verbose = TRUE)

## use the metric "rmse" (root mean squared error) to grid search for the
## best model
results <- workflow %>%
    tune_grid(
        resamples = folds,
        metrics = metric_set(rmse),
        control = ctrl
    )
## select the best model based on RMSE
best_mod <- results %>% select_best("rmse")
best_mod
## finalise the workflow and fit it with all of the training data
final_workflow <- finalize_workflow(workflow, best_mod)
final_workflow
final_model <- final_workflow %>%
    fit(data = training(split_data))

## plot predicted age against true age for test data
plot(
    testing(split_data)$age,
    predict(final_model, new_data = testing(split_data))$.pred,
    xlab = "True age",
    ylab = "Predicted age",
    pch = 16,
    log = "xy"
)
abline(0:1, lty = "dashed")

Further reading

Footnotes

  1. Model selection including $R^2$, AIC and BIC are covered in the additional feature selection for regression episode of this course. 

  2. Epigenetic Predictor of Age, Bocklandt et al. (2011) 

Key Points

  • Regularisation is a way to fit a model, get better estimates of effect sizes, and perform variable selection simultaneously.

  • Test and training splits, or cross-validation, are a useful way to select models or hyperparameters.

  • Regularisation can give us a more predictive set of variables, and by restricting the magnitude of coefficients, can give us a better (and more stable) estimate of our outcome.

  • Regularisation is often very fast! Compared to other methods for variable selection, it is very efficient. This makes it easier to practice rigorous variable selection.